Hyaluronic acid ELISA Kit

Referencia OKEH02527

embalaje : 96Wells

Marca : Aviva Systems Biology

Contact local distributor :


Teléfono : +1 850 650 7790

Datasheets/ManualsPrintable datasheet for Hyaluronic acid ELISA Kit (OKEH02527)
COA DatasheetPrintable COA datasheet for OKEH02527
Product Info
Predicted Species ReactivityAll Species
ApplicationELISA-Comp
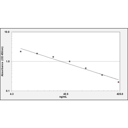
ELISA Kit Detection MethodColorimetric, OD 450 nm
ELISA Kit Duration~ 3 Hours
ELISA Kit PrincipleAviva Systems Biology Hyaluronic acid ELISA Kit (OKEH02527) is based on a competitive enzyme immunoassay technique. The microtiter well-plate in this kit has been pre-coated with an anti-Hyaluronic acid antibody. Sample or standards are added to the wells along with a fixed quantity of biotinylated Hyaluronic acid and incubated. The Hyaluronic acid found in the sample or standards competes with the biotinylated Hyaluronic acid for limited binding sites on the immobilized anti-Hyaluronic acid antibody. Excess unbound biotinylated Hyaluronic acid and sample or standard Hyaluronic acid is washed from the plate. Avidin-HRP conjugate is added, incubated and washed. An enzymatic reaction is then produced through the addition of TMB substrate which is catalyzed by the immobilized HRP to generate a blue color product that changes yellow after adding acidic stop solution. The density of yellow coloration is measured by reading the absorbance at 450 nm which is quantitatively proportional to the amount of biotinylated Hyaluronic acid captured in the well and inversely proportional to the amount of Hyaluronic acid which was contained in the sample or standard.
ELISA Kit Range6.25-400ng/mL
ELISA Kit RecoveryMean recovery when spiking into Serum and Plasma = 95%
ELISA Kit ReproducibilityMean Intra-assay CV%: < 6.4% (n = 20)
Mean Inter-assay CV%: < 9.2% (n = 20)
ELISA Kit Component
ComponentAmount
Anti-Hyaluronic acid Microplate96 Wells (12 x 8 Well strips)
Hyaluronic acid Lyophilized Standard2 x 400 ng
Sample Diluent1 x 20 mL
100X Hyaluronic acid-Biotin Complex1 x 60 uL
100X Avidin-HRP Conjugate1 x 120 uL
Biotin Complex Diluent1 x 12 mL
Conjugate Diluent1 x 12 mL
25X Wash Buffer1 x 30 mL
TMB Substrate1 x 10 mL
Stop Solution1 x 10 mL
Additional InformationTarget Abbr: HA
Target Name: Hyaluronic acid
::Pubchem: 3084050
::Chemical formula: C28H44N2O23
Reconstitution and StorageStore as indicated in product manual.
Sample TypeSerum, plasma, tissue homogenates, cell culture supernatants and other biological fluids
Sensitivity3.125 ng/mL
SpecificityNatural and recombinant General Hyaluronic acid
Publications

Troy M Purdom, Alexis Wayland, Justin X Nicoll, Bjoern Ludwar, Andrew Fry, Erin Shanle, Jake Giles. Intramuscular hyaluronic acid expression following repetitive power training induced nonfunctional overreaching. Appl Physiol Nutr Metab. 46, 1563-1566 (2021). 34437821

More...

Assay InfoAssay Methodology: Quantitative Competitive ELISA
Alias SymbolsHA, Hyaluronic acid, HA, Hyaluronan, Hyaluronate
Protein NameHyaluronic acid
Description of TargetHyaluronan (also called hyaluronic acid or hyaluronate or HA) is an anionic, nonsulfated glycosaminoglycan distributed widely throughout connective, epithelial, and neural tissues. It is unique among glycosaminoglycans in that it is nonsulfated, forms in the plasma membrane instead of the Golgi, and can be very large, with its molecular weight often reaching the millions. One of the chief components of the extracellular matrix, hyaluronan contributes significantly to cell proliferation and migration, and may also be involved in the progression of some malignant tumors. The average 70 kg (154 lbs) person has roughly 15 grams of hyaluronan in the body, one-third of which is turned over (degraded and synthesized) every day. Hyaluronic acid is also a component of the group A streptococcal extracellular capsule, and is believed to play a role in virulence.

Usted podría estar interesado también en los siguientes productos:



Referencia
Descripción
Cond.
Precio Sin IVA
MBS262948-96
 96-Strip-Wells 
OKEH00170
 96Wells