Acetyl-CoA Carboxylase (ACC) Activity Assay Kit
Referencia E-BC-K508-M-96T
embalaje : 96T
Marca : Elabscience
| Detection Principle | ACC catalyzes acetyl-coA, NaHCO3 and ATP to produce inorganic phosphorus, the activity of ACC can be calculated by measuring the change of inorganic phosphorus content. |
| Synonyms | ACC |
| Sample Type | Animal tissue,Plant tissue |
| Detection Method | Colorimetric method |
| Detection Instrument | Microplate reader (650-670 nm) |
| Research Area | Glycolysis And Lipid Metabolism |
| Other Reagents Required | Double distilled water, Normal saline (0.9% NaCl) |
| Storage | This product can be stored at -20°C for 12 months with shading light. |
| Valid Period | 12 months |
| Sensitivity | 6.78 U/L |
| Detection Range | 6.78-138 U/L |
| Precision | inter-assay CV: 8% | intra-assay CV: 4% |
| Sample Volume | 80 μL |
| Assay Time | 1 h 10 min |
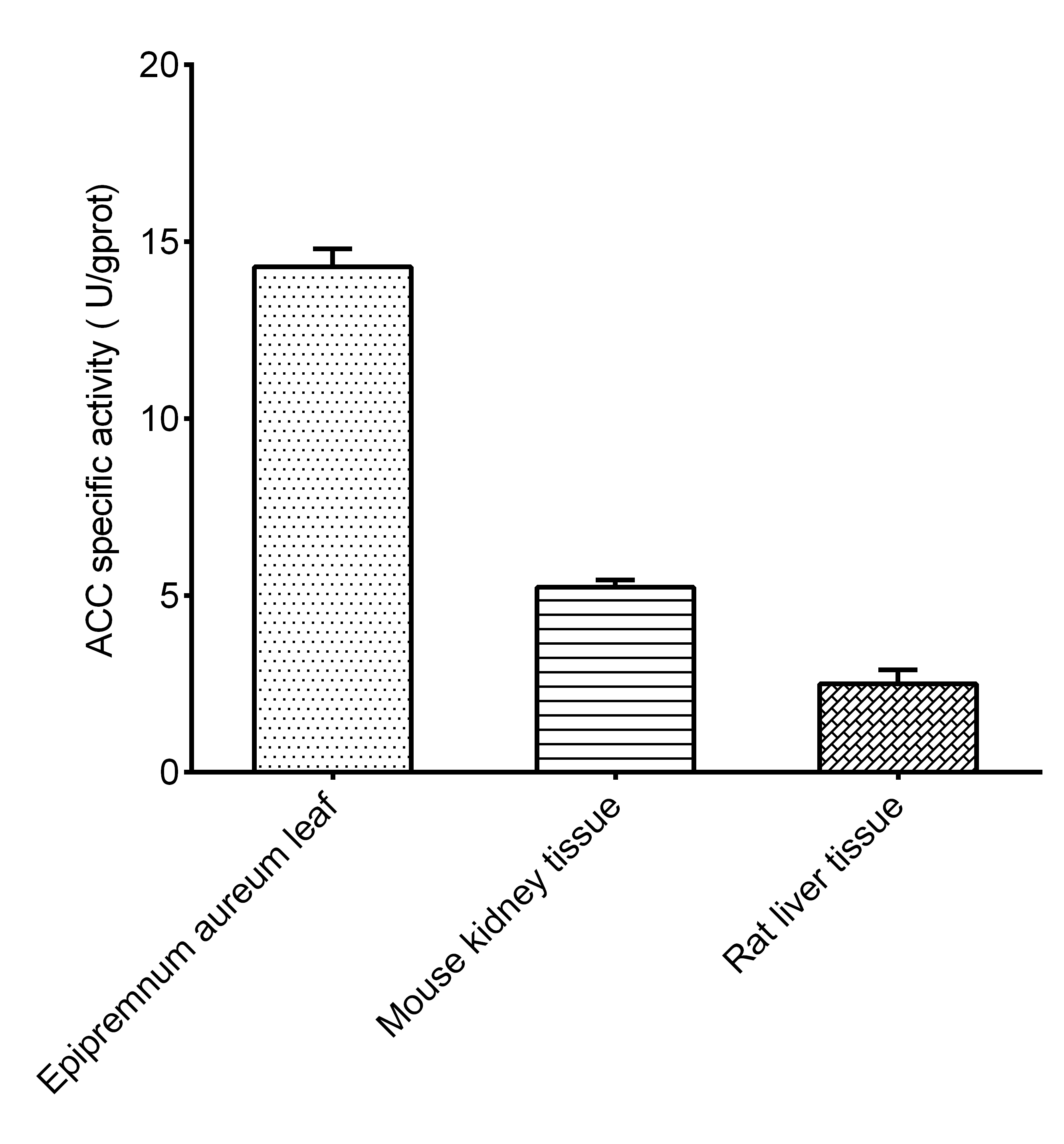
The recommended dilution factor for different samples is as follows (for reference only):
| Sample Type | Dilution Factor |
|---|---|
| 10% Epipremnum aureum tissue homogenate | 1 |
| 10% Mouse kidney tissue homogenate | 1 |
| 10% Rat liver tissue homogenate | 1 |
| 10% Potato tissue homogenate | 1 |
The diluent is normal saline (0.9% NaCl) or PBS (0.01 M, pH 7.4). For the dilution of other sample types, please do pretest to confirm the dilution factor.
| Cat.No. | Product Name | Clone No. |
|---|
-
IF:{{item.impact}}
Journal:{{item.journal}} ({{item.year}})
DOI:{{item.doi}}Reactivity:{{item.species}}
Sample Type:{{item.sample_type}}
-
Q{{(FAQpage.currentPage - 1)*pageSize+index+1}}:{{item.name}}
No files available. Please enter the correct identification code in the search area to query the relevant documents.
| Title | Status | Valid until | Action | |
|---|---|---|---|---|
| {{v.文件名}} | {{v.status_str}} | {{v.timestamp_str}} | Download | / |
*Note:Please download the relevant files within the validity period. After expiration, file preview and download will not be available on the page.

