Phosphate Colorimetric Assay Kit(Malachite Green Method)
Cat# E-BC-K832-M-96T
Size : 96T
Brand : Elabscience
| Detection Principle | Phosphorus is an important mineral, one of the essential nutrients for all animals, and is essential for maintaining phosphate homeostasis. Malachite green method is a sensitive method for phosphate analysis. The principle is that the compounds formed by phosphoric acid and molybdate under acidic conditions will form color substances with malachite green. The depth of color is proportional to the content of phosphate. The phosphorus content can be calculated indirectly be measuring the OD value at 636 nm. |
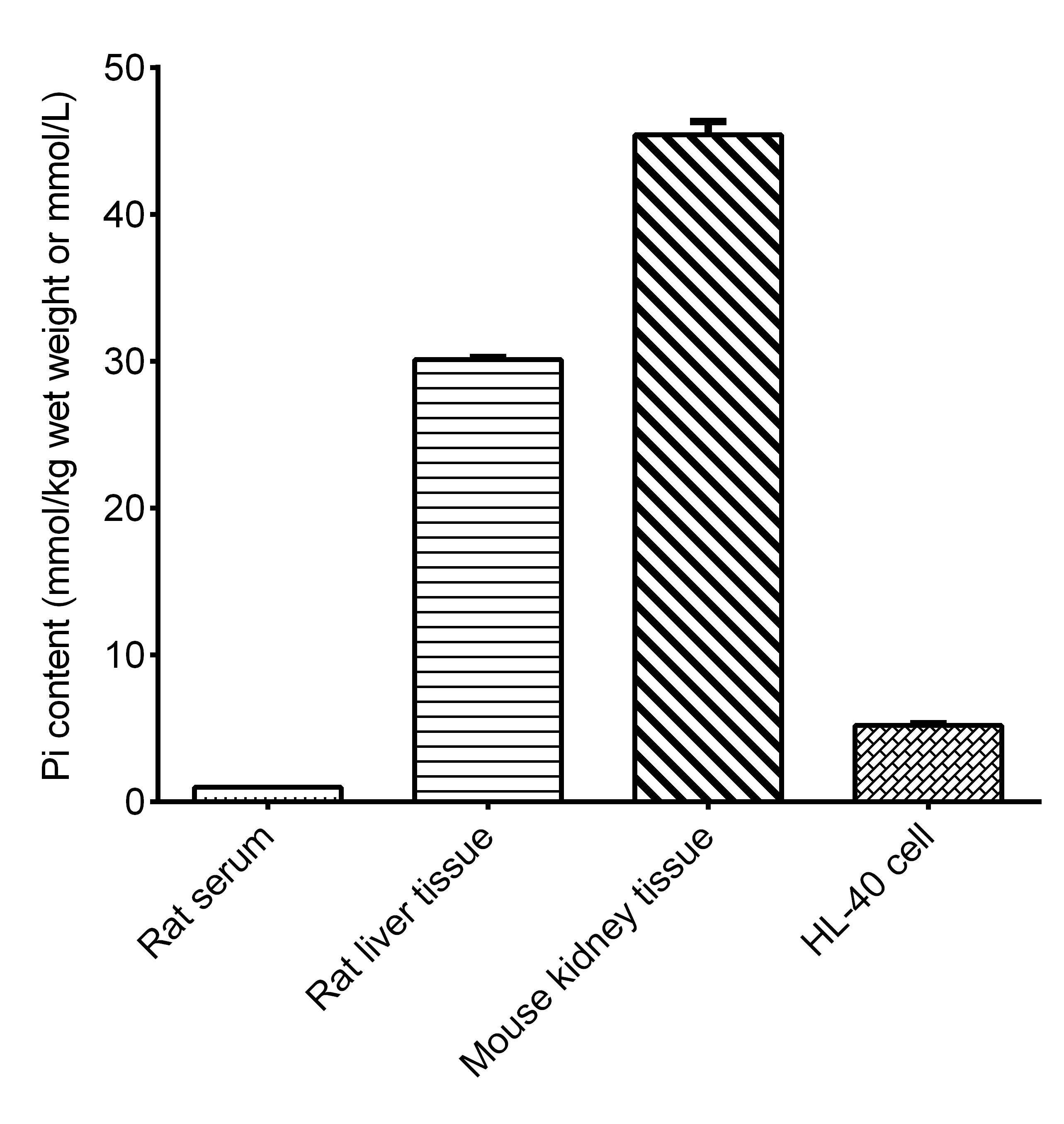
| Sample Type | Serum,Plasma,Tissue,Cell |
| Detection Method | Colorimetric method |
| Detection Instrument | Microplate reader (630-650 nm) |
| Research Area | Inorganic Ions , Oxidative Stress |
| Storage | This product can be stored at 2-8°C for 12 months with shading light. |
| Valid Period | 12 months |
| Sensitivity | 0.001 mmol/L |
| Detection Range | 0.001-0.20 mmol/L |
| Precision | inter-assay CV: 8% | intra-assay CV: 4% |
| Sample Volume | 20 μL |
| Assay Time | 35 min |
The recommended dilution factor for different samples is as follows (for reference only):
| Sample Type | Dilution Factor |
|---|---|
| 10% Rat liver tissue homogenate | 15-25 |
| 10% Rat heart tissue homogenate | 15-25 |
| 10% Rat spleen tissue homogenate | 15-25 |
| 10% Rat brain tissue homogenate | 15-25 |
| 10% Rat kidney tissue homogenate | 15-25 |
| 10% Mouse heart tissue homogenate | 15-25 |
| 10% Mouse lung tissue homogenate | 15-25 |
| 10% Mouse ovarian tissue homogenate | 50-70 |
| Rat serum | 8-12 |
| Rat plasma | 8-12 |
| Human plasma | 8-12 |
The diluent is normal saline (0.9% NaCl) or PBS (0.01 M, pH 7.4). For the dilution of other sample types, please do pretest to confirm the dilution factor.
| Cat.No. | Product Name | Clone No. |
|---|
-
IF:{{item.impact}}
Journal:{{item.journal}} ({{item.year}})
DOI:{{item.doi}}Reactivity:{{item.species}}
Sample Type:{{item.sample_type}}
-
Q{{(FAQpage.currentPage - 1)*pageSize+index+1}}:{{item.name}}

