Choline Acetyltransferase (ChAT) Activity Assay Kit (Tissue Samples)
Cat# E-BC-K125-S-100
Size : 100Assays
Brand : Elabscience
| Detection Principle | Acetyl-CoA can react with choline under the catalysis of choline acetyltransferase (ChAT) to produce coenzyme A (CoA), CoA can combine with the 4, 4-dithiopyridine. The activity of ChAT can be calculated indirectly by measuring the OD value at 324 nm. |
| Synonyms | ChAT |
| Sample Type | Animal tissue |
| Detection Method | Colorimetric method |
| Detection Instrument | Spectrophotometer (324 nm) |
| Research Area | Amino Acids And Proteins |
| Other Reagents Required | Normal saline (0.9% NaCl), PBS (0.01 mol/L, pH 7.4) |
| Storage | This product can be stored at 2-8°C/-20°C for 12 months with shading light. Please refer to the manual for the specific storage condition of the components. |
| Valid Period | 12 months |
| Sensitivity | 1.21 U/g fresh weigh |
| Detection Range | 1.21-40 U/g fresh we |
| Precision | inter-assay CV: 9.2% | intra-assay CV: 5% |
| Sample Volume | 100 μL(tissue homogenate) |
| Assay Time | 1 h 20 min |
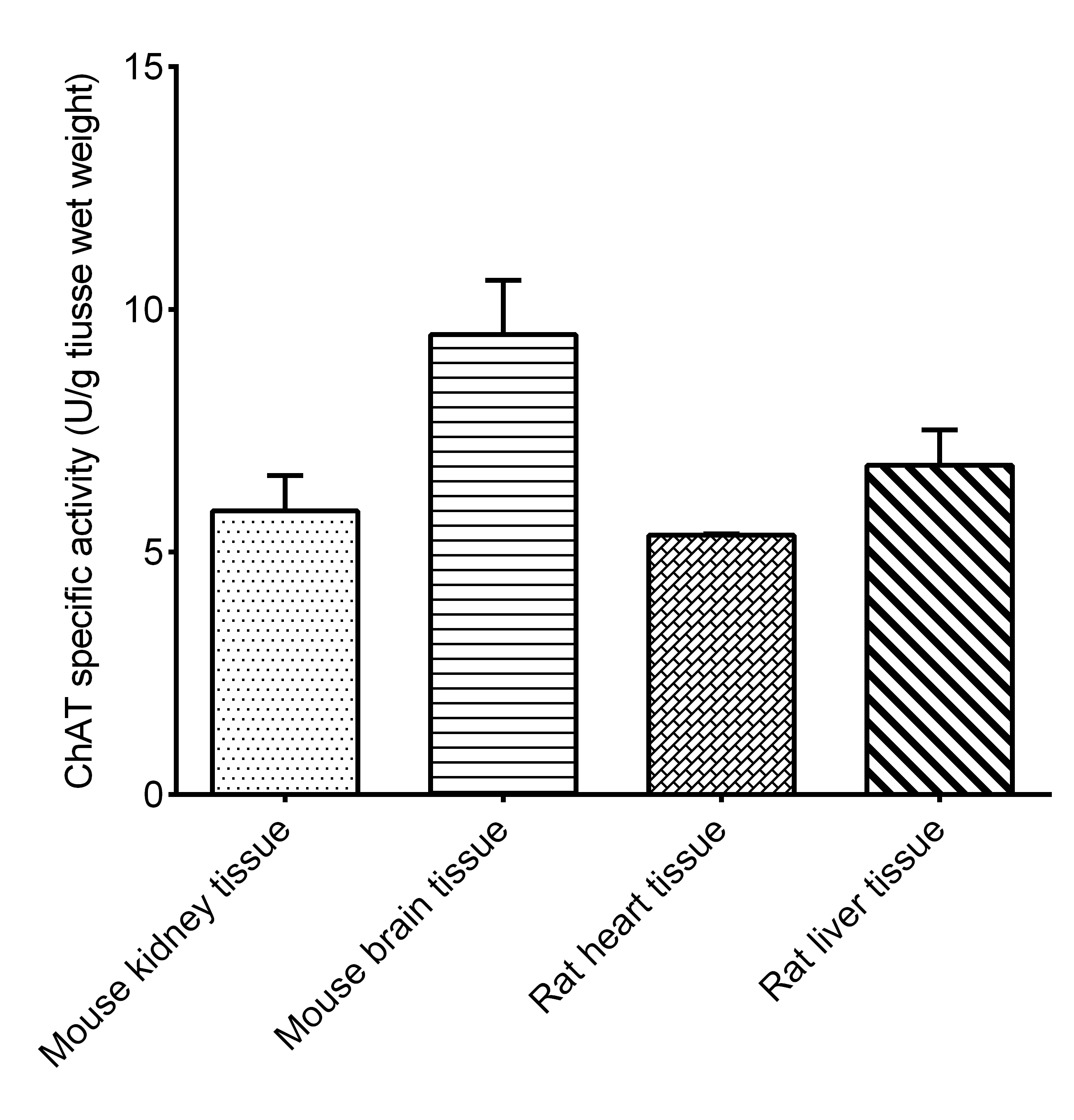
The recommended dilution factor for different samples is as follows (for reference only):
| Sample Type | Dilution Factor |
|---|---|
| 20% Mouse brain tissue homogenate | 1-2 |
| 20% Rat heart tissue homogenate | 1 |
| 20% Rat liver tissue homogenate | 1 |
| 20% Mouse kidney tissue homogenate | 1 |
| 20% Rat lung tissue homogenate | 1 |
The diluent is normal saline (0.9% NaCl) or PBS (0.01 M, pH 7.4). For the dilution of other sample types, please do pretest to confirm the dilution factor.
| Cat.No. | Product Name | Clone No. |
|---|
-
IF:{{item.impact}}
Journal:{{item.journal}} ({{item.year}})
DOI:{{item.doi}}Reactivity:{{item.species}}
Sample Type:{{item.sample_type}}
-
Q{{(FAQpage.currentPage - 1)*pageSize+index+1}}:{{item.name}}

